BASES DEL PROCESO DE REASIGNACIÓN DEL PERSONAL DE SALUD-CONTRATO ADMINISTRATIVO DE SERVICIOS-EN EL MARCO DEL ARTICULO 27 DE LA LEY 31538 - CONVOCATORIA N° 014-2022-U.E N° 400-OGESS-BM/DG.
Objeto de la Convocatoria
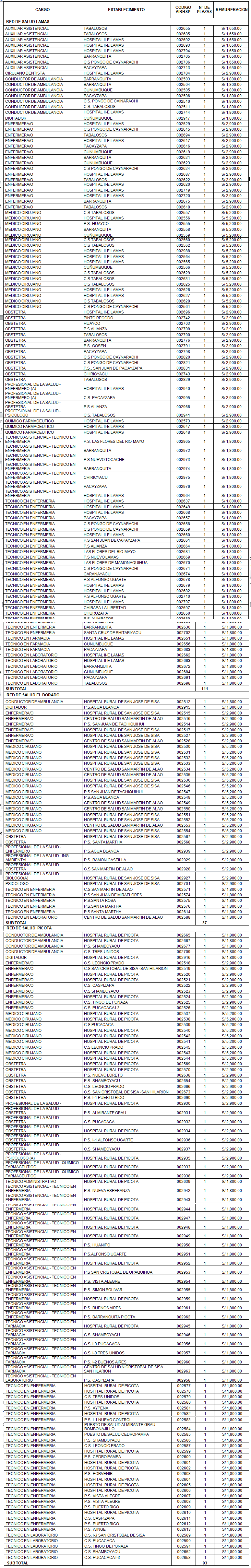
Evaluar al recurso humano idóneo que cumplan con el perfil y las competencias para cubrir 509 puestos del régimen laboral Decreto Legislativo N° 1057 a plazo indeterminado en los diferentes establecimientos de salud, que conforman la U.E N° 400-OGESS BM; en marco del artículo 27 de la Ley N° 31538.


Dependencia, órgano/unidad orgánica requirente
-Micro Redes y Redes de Salud de la jurisdicción de la U.E N° 400-OGESS BM
Dependencia encargada de realizar el proceso de contratación
-Dirección de Recursos Humanos de la U.E N° 400-OGESS BM o la que haga sus veces.
Base Legal
-Ley N° 31538, Ley que aprueba créditos suplementarios para el financiamiento de los gastos asociados a la emergencia sanitaria producida por la Covid-19, la reactivación económica, y otros gastos de las entidades del Gobierno Nacional, los Gobiernos Regionales y los Gobiernos Locales, y dicta otras medidas.
-Decreto Legislativo N° 1057, Decreto Legislativo que regula el régimen especial de Contratación Administrativa de Servicios, reglamento y modificatorias.
-Decreto Legislativo N° 1161, Ley de Organización y Funciones del Ministerio de Salud
-Ley N° 27867, Ley Orgánica de Gobiernos Regionales.
-Resolución Ministerial Nº 676-2022-MINSA que Aprueba la Versión Actualizada del documento técnico: “Lineamientos para el procedimiento de contratación administrativa de servicios del personal de salud en el marco del Art. 27 de la Ley 31538”
Más informacion en las bases adjuntas.