BASES DEL PROCESO DE REASIGNACIÓN DEL PERSONAL DE SALUD-CONTRATO ADMINISTRATIVO DE SERVICIOS-EN EL MARCO DEL ARTICULO 27 DE LA LEY 31538 (2da. CONVOCATORIA) - CONVOCATORIA N° 016-2022-U.E N° 400-OGESS-BM/DG.
Objeto de la convocatoria
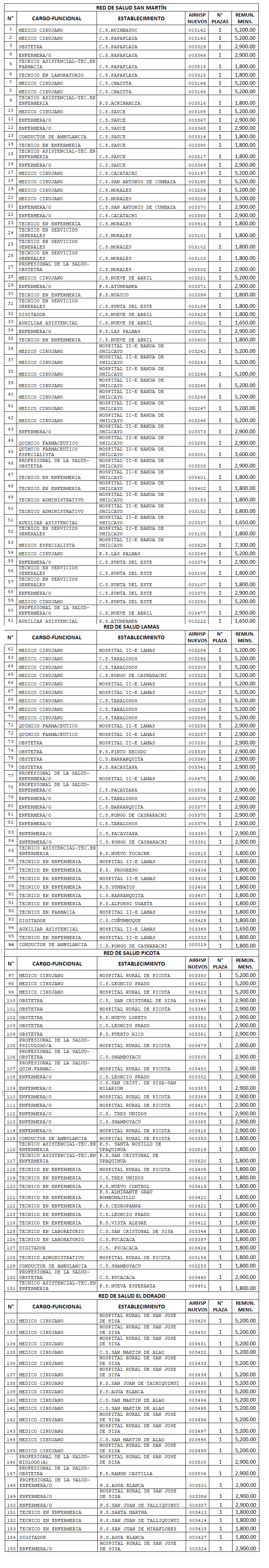
Evaluar al recurso humano idóneo que cumplan con el perfil y las competencias para cubrir 155 puestos del régimen laboral Decreto Legislativo N° 1057 a plazo indeterminado en los diferentes establecimientos de salud, que conforman la U.E N° 400-OGESS BM; en marco del artículo 27 de la Ley N° 31538.(2da. Convocatoria)

Más informacion en las bases adjuntas